Exercises: Chapter 4, Section 1

  1. Let ch4a1.png be the usual basis of ch4a2.png and let ch4a3.png be the dual basis.
    1. Show that ch4a4.png . What would the right hand side be if the factor ch4a5.png did not appear in the definition of ch4a6.png ?

      The result is false if the ch4a7.png are not distinct; in that case, the value is zero. Assume therefore that the ch4a8.png are distinct. One has using Theorem 4-1(3):

      ch4a9.png

      because all the summands except that corresponding to the identity permutation are zero. If the factor were not in the definition of ch4a10.png , then the right hand side would have been ch4a11.png .

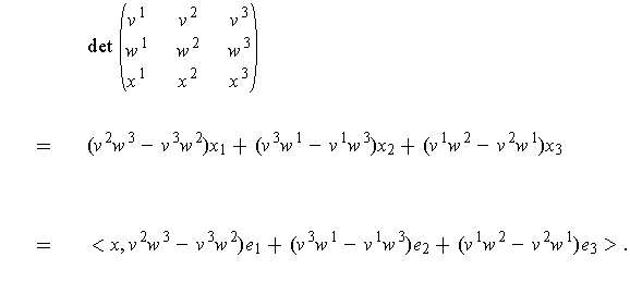
    2. Show that ch4a12.png is the determinant of thee ch4a13.png minor of ch4a14.png obtained by selecting columns ch4a15.png .

      Assume as in part (a) that the ch4a16.png are all distinct.

      A computation similar to that of part (a) shows that ch4a17.png if some ch4a18.png for all ch4a19.png . By multilinearity, it follows that we need only verify the result when the ch4a20.png are in the subspace generated by the ch4a21.png for ch4a22.png .

      Consider the linear map ch4a23.png defined by ch4a24.png . Then ch4a25.png . One has for all ch4a26.png :

      ch4a27.png

      This shows the result.

  2. If ch4a28.png is a linear transformation and ch4a29.png , then ch4a30.png must be multiplication by some constant ch4a31.png . Show that ch4a32.png .

    Let ch4a33.png . Then by Theorem 4-6, one has for ch4a34.png , ch4a35.png . So ch4a36.png .

  3. If ch4a37.png is the volume element determined by ch4a38.png and ch4a39.png , and ch4a40.png , show that

    ch4a41.png

    where ch4a42.png .

    Let ch4a43.png be an orthonormal basis for V with respect to ch4a44.png , and let ch4a45.png where ch4a46.png . Then we have by blinearity: ch4a47.png ; the right hand sides are just the entries of ch4a48.png and so ch4a49.png . By Theorem 4-6, ch4a50.png . Taking absolute values and substituting gives the result.

  4. If ch4a51.png is the volume element of ch4a52.png determined by ch4a53.png and ch4a54.png , and ch4a55.png is an isomorphism such that ch4a56.png and such that ch4a57.png , show that ch4a58.png .

    One has ch4a59.png by the definition of ch4a60.png and the fact that ch4a61.png is the volume element with respect to ch4a62.png and ch4a63.png . Further, ch4a64.png for some ch4a65.png because ch4a66.png is of dimension 1. Combining, we have ch4a67.png , and so ch4a68.png as desired.

  5. If ch4a69.png is continuous and each ch4a70.png is a basis for ch4a71.png , show that ch4a72.png .

    The function ch4a73.png is a continuous function, whose image does not contain 0 since ch4a74.png is a basis for every t. By the intermediate value theorem, it follows that the image of ch4a75.png consists of numbers all of the same sign. So all the ch4a76.png have the same orientation.

    1. If ch4a77.png , what is ch4a78.png ? ch4a79.png is the cross product of a single vector, i.e. it is the vector ch4a80.png such that ch4a81.png for every ch4a82.png . Substitution shows that ch4a83.png works.
    2. If ch4a84.png are linearly independent, show that ch4a85.png is the usual orientation of ch4a86.png .

      By the definition, we have ch4a87.png . Since the ch4a88.png are linearly independent, the definition of cross product with ch4a89.png completing the basis shows that the cross product is not zero. So in fact, the determinant is positive, which shows the result.

  6. Show that every non-zero ch4a90.png is the volume element determined by some inner product ch4a91.png and orientation ch4a92.png for ch4a93.png .

    Let ch4a94.png be the volume element determined by some inner product ch4a95.png and orientation ch4a96.png , and let ch4a97.png be an orthornormal basis (with respect to ch4a98.png ) such that ch4a99.png . There is a scalar ch4a100.png such that ch4a101.png . Let ch4a102.png , ch4a103.png , ch4a104.png , and ch4a105.png for ch4a106.png . Then ch4a107.png are an orthonormal basis of ch4a108.png with respect to ch4a109.png , and ch4a110.png . This shows that ch4a111.png is the volume element of ch4a112.png determined by ch4a113.png and ch4a114.png .

  7. If ch4a115.png is a volume element, define a ``cross product" ch4a116.png in terms of ch4a117.png .

    The cross product is the ch4a118.png such that ch4a119.png for all ch4a120.png .

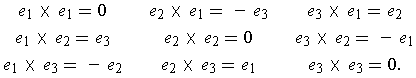
  8. Deduce the following properties of the cross product in ch4a121.png :
    1. ch4a122.png

      All of these follow immediately from the definition, e.g. To show that ch4a123.png , note that ch4a124.png for all ch4a125.png .

    2. ch4a126.png .

      Expanding out the determinant shows that:

      ch4a127.png

    3. ch4a128.png , where ch4a129.png , and ch4a130.png .

      The result is true if either ch4a131.png or ch4a132.png is zero. Suppose that ch4a133.png and ch4a134.png are both non-zero. By Problem 1-8, ch4a135.png and since ch4a136.png , the first identity is just ch4a137.png . This is easily verified by substitution using part (b).

      The second assertion follows from the definition since the determinant of a square matrix with two identical rows is zero.

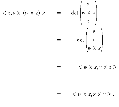
    4. ch4a138.png

      For the first assertion, one has ch4a139.png and ch4a140.png .

      For the second assertion, one has:

      ch4a141.png

      So, one needs to show that ch4a142.png for all ch4a143.png . But this can be easily verified by expanding everything out using the formula in part (b).

      The third assertion follows from the second:

      ch4a144.png

    5. ch4a145.png .

      See the proof of part (c).

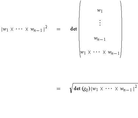
  9. If ch4a146.png , show that

    ch4a147.png

    where ch4a148.png .

    Using the definition of cross product and Problem 4-3, one has:

    ch4a149.png

    since the matrix from Problem 4-3 has the form ch4a150.png . This proves the result in the case where ch4a151.png is not zero. When it is zero, the ch4a152.png are linearly dependent, and the bilinearity of inner product imply that ch4a153.png too.

  10. If ch4a154.png is an inner product on ch4a155.png , a linear transformation ch4a156.png is called self-adjoint (with respect to ch4a157.png ) if ch4a158.png for all ch4a159.png . If ch4a160.png is an orthogonal basis and ch4a161.png is the matrix of ch4a162.png with respect to this basis, show that ch4a163.png .

    One has ch4a164.png for each ch4a165.png . Using the orthonormality of the basis, one has: ch4a166.png But ch4a167.png , which shows the result.

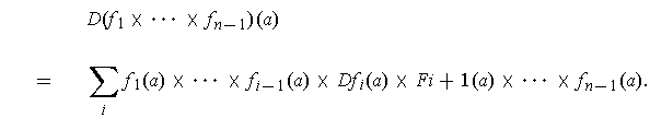
  11. If ch4a168.png , define ch4a169.png by ch4a170.png . Use Problem 2-14 to derive a formula for ch4a171.png when ch4a172.png are differentiable.

    Since the cross product is multilinear, one can apply Theorem 2-14 (b) and the chain rule to get:

    ch4a173.png