Exercises: Chapter 2, Section 2

  1. Use the theorems of this section to find ch2b1.png for the following:
    1. ch2b2.png

      We have ch2b3.png and so by the chain rule, one has: ch2b4.png , i.e. ch2b5.png .

    2. ch2b6.png

      Using Theorem 2-3 (3) and part (a), one has: ch2b7.png .

    3. ch2b8.png .

      One has ch2b9.png , and so by the chain rule: ch2b10.png

    4. ch2b11.png

      If ch2b12.png is the function of part (c), then ch2b13.png . Using the chain rule, we get:

      ch2b14.png

    5. ch2b15.png

      If ch2b16.png , then ch2b17.png and we know the derivative of ch2b18.png from part (a). The chain rule gives: ch2b19.png

    6. ch2b20.png

      If ch2b21.png , then ch2b22.png . So one gets: ch2b23.png .

    7. ch2b24.png

      If ch2b25.png , then ch2b26.png . So one gets: ch2b27.png .

    8. ch2b28.png

      The chain rule gives: ch2b29.png .

    9. ch2b30.png

      Using the last part: ch2b31.png .

    10. ch2b32.png

      Using parts (h), (c), and (a), one gets

      ch2b33.png

  2. Find ch2b34.png for the following (where ch2b35.png is continuous):
    1. ch2b36.png .

      If ch2b37.png , then ch2b38.png , and so: ch2b39.png .

    2. ch2b40.png .

      If ch2b41.png is as in part (a), then ch2b42.png , and so: ch2b43.png .

    3. ch2b44.png .

      One has ch2b45.png where ch2b46.png and ch2b47.png have derivatives as given in parts (d) and (a) above.

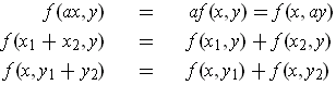
  3. A function ch2b48.png is bilinear if for ch2b49.png , ch2b50.png , and ch2b51.png , we have

    ch2b52.png

    1. Prove that if ch2b53.png is bilinear, then

      ch2b54.png

      Let ch2b55.png have a 1 in the ch2b56.png place only. Then we have ch2b57.png by an obvious induction using bilinearity. It follows that there is an ch2b58.png depending only on ch2b59.png such that: ch2b60.png . Since ch2b61.png , we see that it suffices to show the result in the case where ch2b62.png and the bilinear function is the product function. But, in this case, it was verified in the proof of Theorem 2-3 (5).

    2. Prove that ch2b63.png .

      One has ch2b64.png by bilinearity and part (a).

    3. Show that the formula for ch2b65.png in Theorem 2-3 is a special case of (b).

      This follows by applying (b) to the bilinear function ch2b66.png .

  4. Define ch2b67.png by ch2b68.png .
    1. Find ch2b69.png and ch2b70.png .

      By Problem 2-12 and the fact that ch2b71.png is bilinear, one has ch2b72.png . So ch2b73.png .

    2. If ch2b74.png are differentiable, and ch2b75.png is defined by ch2b76.png , show that

      ch2b77.png

      (Note that ch2b78.png is an ch2b79.png matrix; its transpose ch2b80.png is an ch2b81.png matrix, which we consider as a member of ch2b82.png .)

      Since ch2b83.png , one can apply the chain rule to get the assertion.

    3. If ch2b84.png is differentiable and ch2b85.png for all ch2b86.png , show that ch2b87.png .

      Use part (b) applied to ch2b88.png to get ch2b89.png . This shows the result.

    4. Exhibit a differentiable function ch2b90.png such that the function |f| defined by |f|(t) = |f(t)| is not differentiable.

      Trivially, one could let ch2b91.png . Then ch2b92.png is not differentiable at 0.

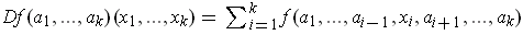
  5. Let ch2b93.png be Euclidean spaces of various dimensions. A function ch2b94.png is called multilinear if for each choice of ch2b95.png the function ch2b96.png defined by ch2b97.png is a linear transformation.
    1. If ch2b98.png is multilinear and ch2b99.png , show that for ch2b100.png , with ch2b101.png , we have

      ch2b102.png

      This is an immediate consequence of Problem 2-12 (b).

    2. Prove that ch2b103.png .

      This can be argued similarly to Problem 2-12. Just apply the definition expanding the numerator out using multilinearity; the remainder looks like a sum of terms as in part (a) except that there may be more than two ch2b104.png type arguments. These can be expanded out as in the proof of the bilinear case to get a sum of terms that look like constant multiples of

      ch2b105.png

      where ch2b106.png is at least two and the ch2b107.png are distinct. Just as in the bilinear case, this limit is zero. This shows the result.

  6. Regard an ch2b108.png matrix as a point in the ch2b109.png -fold product ch2b110.png by considering each row as a member of ch2b111.png .
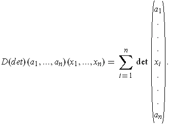
    1. Prove that ch2b112.png is differentiable and

      ch2b113.png

      This is an immediate consequence of Problem 2-14 (b) and the multilinearity of the determinant function.

    2. If ch2b114.png are differentiable and ch2b115.png , show that

      ch2b116.png

      This follows by the chain rule and part (a).

    3. If ch2b117.png for all ch2b118.png and ch2b119.png are differentiable, let ch2b120.png be the functions such that ch2b121.png are the solutions of the equations: ch2b122.png for ch2b123.png . Show that ch2b124.png is differentiable and find ch2b125.png .

      Without writing all the details, recall that Cramer's Rule allows you to write down explicit formulas for the ch2b126.png where ch2b127.png is the matrix of the coefficients ch2b128.png and the ch2b129.png are obtained from ch2b130.png by replacing the ch2b131.png column with the column of the ch2b132.png . We can take transposes since the determinant of the transpose is the same as the determinant of the original matrix; this makes the formulas simpler because the formula for derivative of a determinant involved rows and so now you are replacing the ch2b133.png row rather than the ch2b134.png column. Anyway, one can use the quotient formula and part (b) to give a formula for the derivative of the ch2b135.png .

  7. Suppose ch2b136.png is differentiable and has a differentiable inverse ch2b137.png . Show that ch2b138.png .

    This follows immediately by the chain rule applied to ch2b139.png .