Differential Forms and Chains

7.1 K-Tensors

This section is concerned with some algebraic preliminaries needed to give a formal definition of what we mean by a differenial form.

Definition 1: Let forms1.png be a vector space over forms2.png . A function forms3.png is said to be k-multilinear (or to be a k-tensor ) if and only if it is linear in each of its k variables. The set of all k-tensors over forms4.png is denoted forms5.png .

Note: forms6.png with the obvious operations is a vector space over forms7.png . One can define the tensor product function forms8.png by

forms9.png

This is clearly a bilinear map, and the tensor product is associative.

Proposition 1: The vector space forms10.png is of dimension forms11.png where forms12.png is the dimension of forms13.png . In particular, if forms14.png is a basis of forms15.png , and forms16.png is the corresponding dual basis, then the forms17.png form a basis of forms18.png .

Proof: Clearly the tensor products are elements of forms19.png . If forms20.png is a k-tensor, then it is easy to verify that

forms21.png

Finally, if

forms22.png

then evaluating the left side at forms23.png shows that forms24.png

Definition 2: A k-tensor forms25.png over forms26.png is said to alternating if interchanging any two of its variables changes the sign of the functional value, i.e.

forms27.png

The set of alternating k-tensors over forms28.png is denoted forms29.png .

Note: Clearly, forms30.png is a vector subspace of forms31.png For any k-tensor forms32.png , one could make a symmetric k-tensor

forms33.png

where forms34.png is the set of all permutations of forms35.png If we let forms36.png denote the sign of the permutation forms37.png (i.e. it is 1 or -1 depending on whether the permutation is a product of an even or odd number of transpositions), then it is not surprising that

forms38.png

should be alternating. In fact, one has:

Proposition 2:

  1. If forms39.png then forms40.png
  2. If forms41.png then forms42.png
  3. If forms43.png then forms44.png

Proof: This is a straightforward consequence of the definitions.

Definition 3: The wedge product is the map forms45.png defined by

forms46.png

For any linear map forms47.png , there is a natural map forms48.png defined by forms49.png Restricting this to alternating k-tensors gives another map (also denoted by the same symbol) forms50.png The following is an easy exercise:

Proposition 3: The wedge product is a bilinear map satisfying

  1. forms51.png
  2. forms52.png

The wedge product is also associative:

Proposition 4:

  1. If forms53.png and forms54.png , then

    forms55.png

    provided that forms56.png

  2. forms57.png
  3. If forms58.png , and forms59.png then

    forms60.png

Proof: Let forms61.png be the group of all permutations on forms62.png and forms63.png be the subgroup of permutations which fix forms64.png . Then the cosets of forms65.png in forms66.png are mutually disjoint and so one can write forms67.png as a disjoint union forms68.png for a certain set forms69.png of elements of forms70.png One has

forms71.png

For the second assertion, apply the first result with forms72.png and forms73.png The fact that forms74.png follows from the fact that forms75.png is idempotent. Similarly, one can apply the first result with forms76.png and forms77.png

The final assertion follows from the second and the definition of the wedge product.

Proposition 5: The vector space forms78.png is of dimension forms79.png where forms80.png is the dimension of the vector space forms81.png . In particular, if forms82.png is a dual basis, then the forms83.png where forms84.png form a basis for forms85.png

Proof: To show that the set spans forms86.png , apply forms87.png to an expression for the alternating k-tensor in terms of the basis of Proposition 1. The linear independense is shown analogously to the argument of Proposition 1.

Proposition 6: Let forms88.png be a basis of the vector space forms89.png and forms90.png . If forms91.png then

forms92.png

Proof: Proposition 5 says that forms93.png is of dimension 1, and the determinant function is the a non-zero alternating n-tensor. But forms94.png can be thought of as an alternating n-tensor on forms95.png . So it is a constant multiple of forms96.png . Substituting forms97.png , shows that the constant must be forms98.png .

7.2 Vector Fields and Differential Forms

Any function forms99.png can be viewed as a function which assigns to each point in forms100.png a vector in forms101.png . There are several possible interpretations of the target space. Here are two:
  1. Each point forms102.png , has a tangent space whose elements are of the form forms103.png where forms104.png . So the map forms105.png can be viewed as assigning to each point an vector in its tangent space. When we view forms106.png in this way, we call it a vector field.
  2. To each point forms107.png , we can associate a copy forms108.png denoted forms109.png whose elements are alternating k-tensors in the tangent space at forms110.png . When we view the function forms111.png as mapping points to alternating k-tensors of the tangent space at forms112.png , we call forms113.png a k-form (or differential form) on forms114.png .

In both cases we can express the vectors in terms of a standard basis, and so we have a certain number of coodinate functions. When these coordinate functions are continuous, differential, etc., we call the vector field or k-form continuous, differentiable, etc. To simplify the hypotheses, we will henceforth use the word differentiable to mean forms115.png .

Definition 4: If forms116.png is differentiable, the 1-form forms117.png is defined by

forms118.png

for forms119.png . In the special case of the projection forms120.png , one denotes forms121.png as forms122.png .

Note: forms123.png and so forms124.png is the dual basis to forms125.png In particular, we will usually write k-forms as

forms126.png

An immediate consequence of this notation is:

Proposition 7: If forms127.png is differentiable, then

forms128.png

The next definition tells us how to do substitutions in k-forms:

Definition 5: Let forms129.png is a differentiable function and forms130.png be the linear transformation defined by its derivative at forms131.png . This map can be viewed as mapping the tangent spaces, i.e. we have a function forms132.png defined by

forms133.png

Now, forms134.png defines forms135.png . If forms136.png is a k-form on forms137.png , then forms138.png is the k-form on forms139.png defined by

forms140.png

Note: To be more explicit, for forms141.png one has

forms142.png

The next proposition tells us how to compute substitutions:

Proposition 8: If forms143.png is differentiable, then

  1. forms144.png
  2. forms145.png
  3. forms146.png
  4. forms147.png
  5. If forms148.png , then

    forms149.png

Proof: Should be here.

Definition 4 can be extended to higher order forms as follows:

Definition 6: Given a differentiable k-form

forms150.png

the differential of forms151.png is the (k+1)-form defined by

forms152.png

To calculate differentials of k_forms, one has:

Proposition 9:

  1. forms153.png
  2. If forms154.png is a forms155.png -form and forms156.png is an forms157.png -form, then

    forms158.png

  3. forms159.png
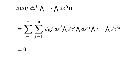
  4. If forms160.png is a forms161.png -form on forms162.png and forms163.png is differentiable, then forms164.png

Proof: The first assertion is obvious from the definition, and the second asesertion follows from the formula for differentiating a product and assertion (1) of Proposition 3. The third assertion follows from assertion (1) of Proposition 3 and the equality of mixed partials:

forms165.png

This leaves the last assertion. The case of 0-forms is just the chain rule. Assume that the assertion is true for all forms166.png -forms forms167.png ; then it suffices to show it for forms168.png . One has

forms169.png

On the other hand,

forms170.png

This proves the result since

forms171.png

where we have used equality of mixed partials.

7.3 Integrals over Chains

Definition 7: A singular n-cube in forms172.png is a continuous function forms173.png . The convention in case forms174.png , is that forms175.png and forms176.png are both the set forms177.png . A singular 1-cube is called a curve. The standard n-cube is the inclusion map of forms178.png An n-chain a linear combination with integer coefficients of singular n-cubes (i.e. an element of the free Abelian group generated by the singular n-cubes).

Given the standard n-cube forms179.png , for forms180.png and forms181.png the singular (n-1) cube forms182.png by forms183.png where forms184.png is defined by forms185.png In the case where forms186.png , the singular n-cube forms187.png is called the forms188.png -face of forms189.png . The boundary forms190.png of forms191.png is defined by

forms192.png

The forms193.png -face of a singular n-cube forms194.png is the composition forms195.png The boundary of forms196.png is the (n-1)-chain

forms197.png

Finally, the boundary of an n-chain forms198.png is defined to be the (n-1)-chain

forms199.png

The signs have been set up to guarantee

Proposition 10: If forms200.png is an forms201.png -chain in forms202.png , then forms203.png

Proof: The proof is straightforward. The idea is that taking an forms204.png -face of a forms205.png -face is the same as taking the forms206.png -face of an forms207.png -face. So, it is just a matter of checking that the signs come out right.

We are now ready to define integrals of differential forms over chains:

Definition 8:

  1. If forms208.png is a forms209.png -form on forms210.png , then forms211.png for some unique function forms212.png . Define

    forms213.png

    which can be written

    forms214.png

    In the case of a 0-form, define the integral to be forms215.png

  2. If forms216.png is a forms217.png -form on forms218.png and forms219.png is a singular forms220.png -cube in forms221.png , define

    forms222.png

    In the case of a 0-form, define the integral to be forms223.png

  3. If forms224.png is a forms225.png -form on forms226.png and forms227.png is a forms228.png -chain in forms229.png , define

    forms230.png

Note: In the special case of a standard forms231.png -cube forms232.png , the integral of forms233.png over forms234.png is equal to the integral of forms235.png over the forms236.png An integral of a 1-form (respectively 2-form) over a 1-chain (respectively 2-chain) is often referred to as a line integral (respectively surface integral).

7.4 Stokes' Theorem

The main theorem of the course is:

Theorem 1: (Stokes' Theorem) If forms237.png is a forms238.png -form on an open set forms239.png and forms240.png is a forms241.png -chain in forms242.png , then

forms243.png

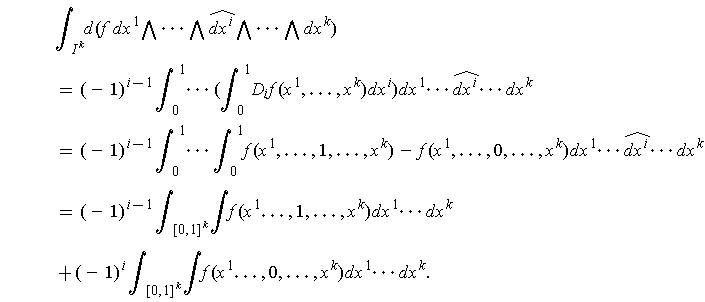
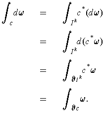
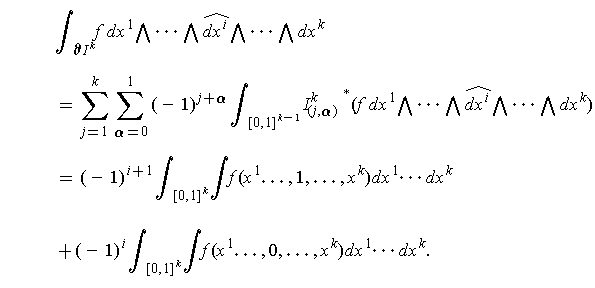
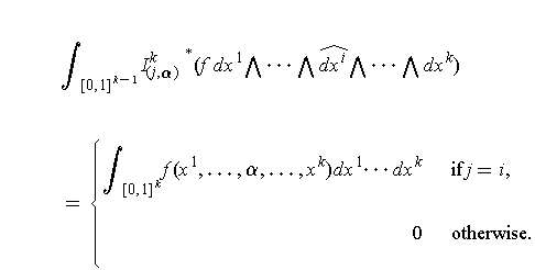
Proof: First consider the case where forms244.png and forms245.png is a forms246.png -form on forms247.png Using additivity, it is clearly enough to consider the case where forms248.png

One has

forms249.png

It follows that

forms250.png

Considering the other side of the equation,

forms251.png

Using Fubini's Theorem and the one dimensional Fundamental Theorem of Calculus, to evaluate this:

forms252.png

which is the same result as we had before. So the result holds in this case.

Now consider the case of a singular forms253.png -cube forms254.png . One has by definition:

forms255.png

And so,

forms256.png

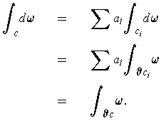
Finally, in the general case where forms257.png is a forms258.png -chain, one has

forms259.png